https://www.acmicpc.net/problem/1753
1753번: 최단경로
첫째 줄에 정점의 개수 V와 간선의 개수 E가 주어진다. (1 ≤ V ≤ 20,000, 1 ≤ E ≤ 300,000) 모든 정점에는 1부터 V까지 번호가 매겨져 있다고 가정한다. 둘째 줄에는 시작 정점의 번호 K(1 ≤ K ≤ V)가
www.acmicpc.net
이 문제는 상당히 오래 걸린 것 같다. 다익스트라를 알지 못해서 무작정 BFS로 풀려고 하다보니 많은 시간을 허비하고 시간초과와 메모리 초과의 늪에서 못나오다가 결국 다익스트라 알고리즘을 공부했다.
다익스트라 알고리즘의 원리는 간단하다.
1. 출발지점을 설정한다.
2. 출발 지점을 기준으로 각 인접 노드에 접근하는 최소 비용을 저장한다.
3. 방문하지 않은 노드 중에서 가중치가 가장 적은 노드를 방문한다.
4. 해당 노드를 거쳐서 특정 노드로 가는 경우를 고려하여 최소 비용을 갱신한다.
5. 3~4번을 반복하여 진행한다.
위 내용처럼 설명하면 이해하기 힘들 수도 있다.
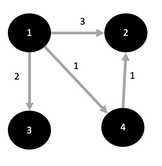
예를 들어 설명하면, 아래 그림과 같은 그래프가 있다고 해보자.

시작 노드는 1이다. 최소 가중치 저장 배열 = {0,MAX_VALUE,MAX_VALUE,MAX_VALUE}
그럼 먼저 큐에 1을 집어넣고 가중치는 0으로 넣는다. 큐:(1,0)
현재 노드의 가중치가 저장된 노드의 최소 가중치보다 크다면 넘어간다.
노드 1과 인접한 2,3,4를 탐색할 것이다.
먼저 2를 봤을 때, 노드 1의 가중치+노드 2의 가중치(=0+3)이 최소 가중치를 저장하는 배열에 노드 2값과 비교했을 때 3<MAX_VALUE이기 때문에 최소 가중치 배열에 3을 저장한다. {0,3,MAX_VALUE,MAX_VALUE}
그리고 큐에도 노드 2에 대해서 가중치 3으로 집어 넣는다. 큐:(2,3)
그 다음 3을 봤을 때 위 과정과 마찬가지로 노드1의 가중치+노드3의 가중치(=0+2)가 배열에 저장된다.
{0, 3, 2, MAX_VALUE}
그리고 큐에도 노드 3에 대해서 가중치 2로 집어 넣는다. 큐:(2,3),(3,2)
그 다음 4를 봤을 때도 마찬가지로 노드1의 가중치+노드4의 가중치(=0+1)가 배열에 저장된다.
{0,3,2,1}
그리고 큐에도 노드 4에 대해서 가중치 1로 집어 넣는다. 큐:(2,3),(3,2),(4,1)
그런 다음 가중치가 가장 작은 (4,1)을 뽑아 낸다. 큐:(2,3),(3,2)
그러면 4와 인접한 2에 대해서 가중치를 계산하는데 노드4의 가중치+노드2의 가중치(=1+1)
이 때 계산한 값이 배열에 저장된 노드 2로가는 가중치 3보다 작음으로 가중치 값을 2로 바꾸어준다.
{0,2,2,1}
그 다음 큐에서 다음으로 가중치가 작은 (3,2)를 뽑아낸다.
이때 3의 인접 노드는 없음으로 넘어간다.
그 다음 큐에 남은 (2,3)을 뽑아내고
인접 노드가 없음으로 마찬 가지로 넘어간다.
이번에는 문제에 주어진 예제를 봐보자.

시작 노드는 1이다. 가중치 배열={0, MAX_VALUE, MAX_VALUE, MAX_VALUE, MAX_VALUE}
1의 인접 노드 2,3을 봐보자.
2를 먼저 보면, 1의 가중치+2의 가중치 = 2 {0,2,MAX_VALUE,MAX_VALUE,MAX_VALUE}
3을 보면, 1의 가중치+3의 가중치 = 3 {0,2,3,MAX_VALUE,MAX_VALUE} 큐:(2,2),(3,3)
큐에서 2를 빼면, 큐:(3,3)
2의 인접 노드 3,4를 봐보자.
3을 먼저 보면, 2의 가중치+3의 가중치=2+4=6 배열에 저장된 가중치보다 크다 넘어간다.
4를 보면, 2의 가중치+4의 가중치 = 2+5=7 배열에 가중치보다 작으니까 넣어준다. {0,2,3,7,MAX_VALUE}, 큐:(3,3),(4,7)
큐에서 3을 빼면, 큐:(4,7)
3의 인접한 4를 보면
3의 가중치 + 4의 가중치 = 3+6 = 9 배열의 가중치 보다 크다 넘어간다.
큐에서 4를 빼면, 4의 인접 노드는 없으니 넘어간다.
그럼 배열은 {0,2,3,7,INF}가 된다.
정답 코드는 아래와 같다.
package backjoon.b1753;
import java.util.*;
import java.io.*;
public class b1753 {
public static void main(String[] args) throws IOException {
BufferedReader br = new BufferedReader(new InputStreamReader(System.in));
StringTokenizer st = new StringTokenizer(br.readLine());
int V = Integer.parseInt(st.nextToken());
int E = Integer.parseInt(st.nextToken());
int R = Integer.parseInt(br.readLine());
List<Node>[] list = new List[V+1];
for(int i=0; i<=V; i++){
list[i]=new ArrayList<>();
}
for(int i=0; i<E; i++){
st = new StringTokenizer(br.readLine());
int start = Integer.parseInt(st.nextToken());
int end = Integer.parseInt(st.nextToken());
int weight = Integer.parseInt(st.nextToken());
list[start].add(new Node(end,weight));
}
Graph g = new Graph(list,V);
g.bfs(R);
StringBuilder sb = new StringBuilder();
for(int i=1; i<=V; i++){
if(g.dist[i]==Integer.MAX_VALUE){
sb.append("INF").append("\n");
}else sb.append(g.dist[i]).append("\n");
}
System.out.println(sb);
}
}
class Graph{
List<Node>[] adj;
int[] dist;
PriorityQueue<Node> queue;
public Graph(List<Node>[] list, int N){
this.adj=list;
dist=new int[N+1];
queue = new PriorityQueue<>();
Arrays.fill(dist,Integer.MAX_VALUE);
}
public void bfs(int R){
queue.add(new Node(R,0));
dist[R]=0;//시작 노드의 가중치를 0으로 한다.
while (!queue.isEmpty()){
Node node = queue.poll();//시작지점 노드를 빼온다.
if(dist[node.end]<node.weight)continue;
//node.end=현재 노드의 저장 되어 있는 최소 가중치
//즉, 큐에서 꺼낸 노드의 현재까지 계산 해놓은 최소 가중치보다 큐에서 꺼낸 노드의 가중치가 크면 넘어간다.
for (Node nextNode : adj[node.end]) {//인접 노드를 확인한다.
int dis = node.weight+nextNode.weight;//현재 노드의 가중치+다음 노드의 가중치
if(dist[nextNode.end]>dis){//다음 노드의 최소 가중치보다 현재 계산한 다음 노드의 가중치가 작으면 갱신
dist[nextNode.end]=dis;
queue.add(new Node(nextNode.end, dis));
}
}
}
}
/**
* 1.출발 노드를 설정
* 2.출발 노드를 기준으로 각 인접 노드의 최소 비용을 저장
* 3.방문하지 않은 노드 중에서 가장 비용이 적은 노드를 선택
* 4.해당 노드를 거쳐서 특정한 노드로 가는 경우를 고려하여 최소비용 갱신
* 5.위 과정에서 3~4번 반복
*/
}
class Node implements Comparable<Node>{
int end;
int weight;
public Node(int end, int weight) {
this.end = end;
this.weight = weight;
}
@Override
public int compareTo(Node o) {
return Integer.compare(this.weight,o.weight);
}
}